種類数の期待値
反復試行において,いったい何種類のものが出るのかの期待値を扱った問題です。
問題1 2005年 北海道大学の入試問題より
「空き部屋なし」
の事象を考えればよさそうです
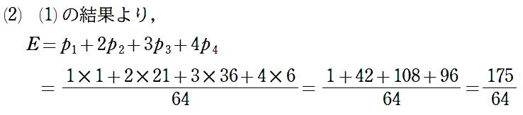
ここまできたら期待値計算はできてしまいますね。
くだらない計算機
色(部屋)で
回(人)だと・・・
n
人がちょうど
m
部屋に入る場合の数は
???
通り
種類数の期待値の途中式は
・・・
期待値は
???
(色)
空き部屋なし問題の深入り
目次へ