期待値の性質について

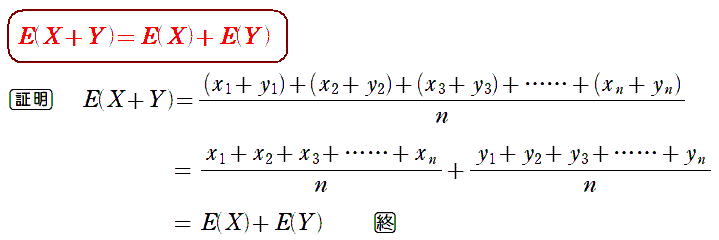
定理 1
定理 2
定理 3

期待値の基本事項
目次へ