二項定理の証明集

二項定理の直感的な説明はこちらです。

ここでは,nCk を再定義し,二項係数に関係する,さまざまな定理の証明を数式を用いて試みます。

定理 1.1
定理 1.2
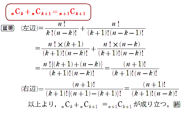
定理 1.3
定理 1.4
定理 2 定義へ
定理 3.1
定理 3.2 定理3.1へ
定理 4.1
定理 5 定理4.1へ 定理1.1へ
目次へ